Отвечаем на вопросы по пожарной безопасности
Попробуйте найти аналогичную тему среди 4821 имеющихся вопросов по пожарной безопасности или
Задайте свой вопрос 
» » 🔥Определение усредненной температуры дымового слоя

🔥Определение усредненной температуры дымового слоя

  • 0
2019-05-14 15:45 0
Вопрос по расчетам противодымной вентиляции по методическим рекомендациям ВНИИПО 2013 года.
Усредненная температура дымового слоя в коридоре по формуле 16 должна удовлетворять условиям 0,5<=0,6. Для обеспечения 2,5 м низа дыма от пола высота коридора должна быть от 5 м до 6,25 м.
А у меня высота коридора 3,6 метра. Другой формулы нет. Как быть?
2019-05-14 15:45
  • 0
Николай Морозов
Ответил эксперт:
В соответствии с п.7.18 СП 7.13130.2013 "Отопление, вентиляция и кондиционирование. Противопожарные требования" расчетное определение требуемых параметров систем противодымной вентиляции или совмещенных с ними систем общеобменной вентиляции следует производить в соответствии с положениями настоящих норм.
Расчеты могут быть выполнены в соответствии с [4] или на основе других методических пособий, не противоречащих указанным требованиям.
Соответственно, расчеты могут быть выполнены в соответствии с [4] (Методические рекомендации к СП 7.13130.2013. Расчетное определение основных параметров противодымной вентиляции зданий. ФГБУ ВНИИПО МЧС России, 2013) или на основе других методических пособий, не противоречащих указанным требованиям.
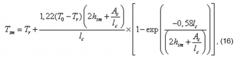
В соответствии с п.3.2.1 Методики для определения усредненной температуры дымового слоя в коридоре используется следующая зависимость, полученная интегрированием эмпирического уравнения, характеризующего изменение температуры в дымовом слое по длине коридора:
При использовании в расчетах данной зависимости предельная толщина дымового слоя должна удовлетворять условию:
Соответственно, при использовании в расчетах данной зависимости предельная толщина дымового слоя должна удовлетворять условию:

Если не можете найти нужное решение, задайте свой вопрос!

Пожалуйста, более подробно опишите Вашу ситуацию (не менее 150зн).
Услуга бесплатна.

Закажите звонок эксперта по пожарной безопасности!
Перезвоним моментально:

Услуга бесплатна.